铸铁压滤机

北京尊龙凯时过滤工程技术有限公司位于北京市丰台区南四环诺德中心,注册资金1000万元。公司在河南有建设基地202亩,厂房面积70000㎡,投资1.5亿元,是集生产、制造、科研、销售、国际贸易为一体的综合性科技型企业。
公司的产品有板框式压滤机、隔膜式压滤机、厢式压滤机、带式压榨过滤机、铸铁压滤机、不锈钢过滤器等产品。产品广泛应用于环保、矿业、冶金、医药、石油、化工、煤炭、食品等领域。

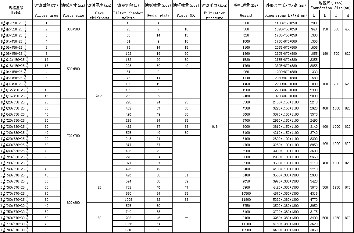
技术参数


01.png

铸铁压滤机

02.png

全自动铸铁压滤机


产品详情

铸铁板框压滤机由优质铸铁或球墨铸铁精密铸造而成,适用于高温物料的过滤,滤板强度高,承受过滤压力大,使用寿命长,广泛应用于石油化工、冶金、油脂、陶瓷等行业的固液分离。


上一篇 : 不锈钢压滤机 下一篇 : 一次拉开压滤机

首页

关于尊龙凯时

产品中心

电话咨询