Product Center

首页 > 产品中心 > 压滤机系列 >
首页 > 产品中心 > 压滤机系列 > 厢式压滤机

厢式压滤机

北京尊龙凯时过滤工程技术有限公司位于北京市丰台区南四环诺德中心,注册资金1000万元。公司在河南有建设基地202亩,厂房面积70000㎡,投资1.5亿元,是集生产、制造、科研、销售、国际贸易为一体的综合性科技型企业。
公司的产品有板框式压滤机、隔膜式压滤机、厢式压滤机、带式压榨过滤机、铸铁压滤机、不锈钢过滤器等产品。产品广泛应用于环保、矿业、冶金、医药、石油、化工、煤炭、食品等领域。

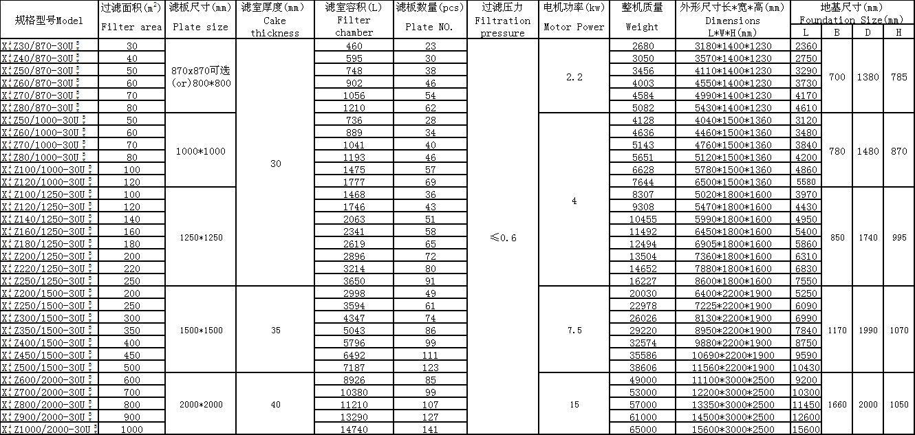
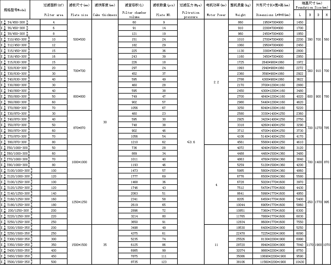
技术参数

1.png

厢式液压压滤机参数

2.png

厢式自动压滤机


产品详情

自动拉板厢式压滤机,可以采用微电脑控制器、PLC、触摸屏控制能对压滤机进行各项操作(如滤板压紧、集液板合并与开启、松开滤板、拉开滤板,水冲洗等),并留有远程控制接口,能远程自动操作控制。

高效节能压滤机是在自动拉板压滤机基础上增加更换了机械手,加长了油缸,增加了区间,一次拉开多块滤板卸料。

适用于易脱水,高频率工作行业的物料,显著特点,结构紧凑、性能稳定、效率高运行费用低等。

拉板效率提高3-6倍,对于滤板数量较多,工作频率较高的设备,有显著优越性。


上一篇 : 隔膜压滤机 下一篇 : 板框压滤机

首页

关于尊龙凯时

产品中心

电话咨询